Notice: Polkadot has migrated to AssetHub. Balances, data, referenda, and other on-chain activity has moved to AssetHub.Learn more
Kusama System Parachain Collators - Tips Q4/2023
Dear Kusama community,
Collators on System Parachains are provided with minimal rewards for block production and small incentives in terms of transaction fees. This reduces incentives for Collators to act in a favorable manner and they may also be inclined to under-resourcing their hosts to save costs. Collators should receive funding for the provision of their services. Ultimately, this should be provided by the chain in a preferably sustainable manner. Implementation of such a system is a long-term solution. In the medium term, funding for collators can be provided by the respective Treasuries in the form of a bounty. This allows funding to be pre-allocated and independently managed.
This proposal is the final monthly operating costs payment for service providers in Q4 2023. Future cost compensation will be done under the Kusama System Parachain Collators Bounty 20 starting from January 2024.
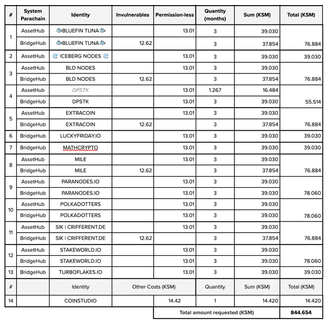
The proposal aims to secure 844.654 KSM for Collators on the Kusama System Parachains network for services delivered for 3 months - 10-12/2023.
This discussion will be open for a period of one week before submitting the proposal onchain. We encourage the Kusama community to review this proposal and provide any feedback or suggestions.
Thank you!
Comments (3)


We just want to re-iterate the points made for collators on system parachains that was made on Polkadot https://polkadot.polkassembly.io/referenda/288#dna5CUc5AGtWclG1ICAU Hopefully we get to see a similar monitoring mechanism on Kusama as well as on Polkadot. However, Kusama is the more experimental alpha network we will vote AYE on Kusama's proposal.
@saxemberg
Thank you for the feedback. In response to these concerns, I will repeat the answers provided on the Polkadot system chain collator proposal that the development and funding of a monitoring solution to address these issues is indeed being considered. This is outlined in Section 6 of the upcoming Bounty proposal describing the plan to implement a system that will monitor and report on the infrastructure used by collators, thereby increasing transparency and helping to mitigate risks.
This proposal does not include development funds beyond the monthly costs associated with collating. The focus is primarily on operational expenses rather than development.
I hope this clarifies the current situation and the steps being taken to improve it. Your vigilance in these matters is greatly appreciated, as it helps us all work towards a more secure and reliable network.
The last round of compensation only paid through August, at least on Bridge Hub, so September is being skipped - I collated for some time during that month. Perhaps once the bounty is up we can circle back to September.
I think this is fine, though I would have preferred block-weighted compensation. AYE from me, thanks for putting this together!